
기존 유한요소, 즉 비정형 수평격자 체계 수치해석에 채택되던 수직격자는 Z, Sigma, Rho 등이 일반적이다. 그리고 이들을 적절히 조합한 Sigma-Z도 사용된다. 비정형 격자 체계에 수직층을 더하면 삼각기둥(혹은 사각기둥)의 프리즘 모양의 계산셀이 생긴다. 프리즘의 각 3면은 수평유동이, 위아래 면은 수직유동이 일어난다.

하지만 지형이 가파른 지역에서는 이 기둥들이 계단모양을 이루게 되며, 수평유동이 막히고 이로인해 수직유동이 과대평가되기 마련이다. 이를 해결하기위한 노력으로 수직격자에도 비정형격자 개념을 들고온 LSC2 격자가 개발된다.
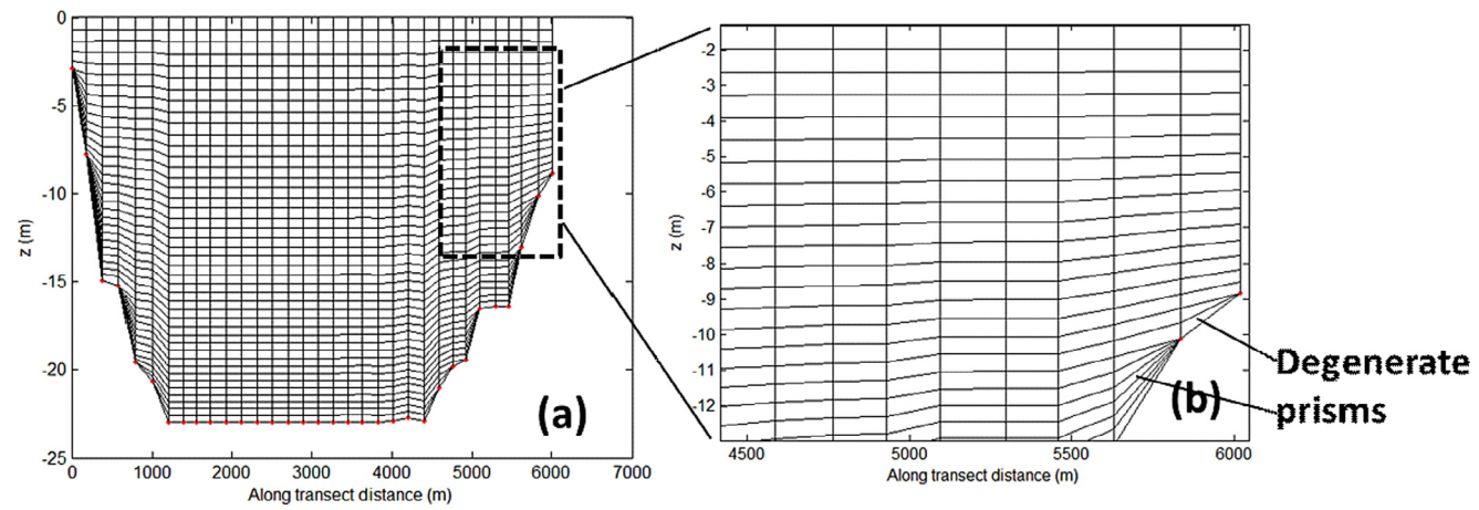
■ 비정형 수직격자, LSC2

아이디어는 간단해 보인다. 수평 노드들마다 각각의 sigma 층을 주고, 층의 개수가 차이나니 그림에 보이는 것과 같이 degenerate prisms을 끼워 넣는 것이다. 이를통해 계단현상을 완화하고, 정밀하게 해저지형을 표현할 수 있다.

또한 수평방향 유속의 수직방향 유속으로 바뀌는 시그마 격자체계의 특징을 보완할 수 있는 기법이기도 하다. Boussinesq approximation에 의해 연직방향 유속은 운동방정식을 계산하지 않아 층별로 수평유속이 먼저 계산되는데, 지형이 가파를 경우 수평적인 유속이 수직방향 유속인냥 계산되는것이다.
수치모델 결과는 항상 진짠지 아닌진 모르겠으나... 어쨋든 모델 결과는 이쁘게 잘 나오는 듯 하다.

■ 기존 수직격자와의 비교

논문에서는 Sigma only 격자와, Sigma-Z 혼합격자를 구성해 비교하였다. quiescent 흐름(흐름이 거의 없는) 영역에서 압력 값을 테스트 할때 사용하는 isolated seamount test를 수행했다고 한다(딱히 ref가 나오는건없다..) 여튼 위 그림과 같이 모델의 결과는 잘짜여진 Sigma-Z 격자와 크게 다르지 않지만, 모델 수행시 계산속도가 60% 정도 빠르다는 장점이 있다고 한다.
따라서, 시그마-제트 격자체계가 구성하기가 훨씬 수월하므로 먼저 시그마 제트 격자로 구축하고, 시스템화시킬 필요가 있어 계산속도가 중요해질때 LSC2으로 바꿔 모델을 구축하는 것이 좋을 것으로 판단된다.
[1] Zhang, Y. J., Ateljevich, E., Yu, H. C., Wu, C. H., & Jason, C. S. (2015). A new vertical coordinate system for a 3D unstructured-grid model. Ocean Modelling, 85, 16-31.
'Engineer > 해양' 카테고리의 다른 글
| [해양수치모델] 지형 평활화가 수질모델에 미치는 영향 (0) | 2021.02.18 |
|---|---|
| 깊은 물의 수온을 표층에 올라와 재면? 온위 (0) | 2021.01.10 |
| 비정형격자와 전지구 해양모델링 (0) | 2020.11.30 |
| 주요 조화성분 리스트 (0) | 2020.06.11 |
댓글